Tan 45 And Tan 30: Values And Explanation

S.Skip 20 views
Tan 45 And Tan 30: Values And Explanation

Tan 45 and Tan 30: Values and Explanation

Hey guys! Today, we’re diving into the trigonometric world to explore the values of tan 45° and tan 30°. These are fundamental angles in trigonometry, and knowing their tangent values is super useful for solving various math problems. So, let’s get started and make sure you understand everything clearly!

Understanding Tangent

Before we jump into the specific values, let’s quickly recap what tangent actually means. In a right-angled triangle, the tangent of an angle (usually denoted as θ) is the ratio of the length of the opposite side to the length of the adjacent side. Mathematically, it’s written as:

tan θ = Opposite / Adjacent

This ratio helps us relate angles to the sides of a triangle, which is super handy in lots of applications, from simple geometry to more complex physics problems. Remember this definition, as it’s the foundation for understanding the values we’re about to explore. Understanding trigonometric ratios like tangent is essential for anyone studying math, physics, or engineering. It’s not just about memorizing values; it’s about understanding the relationships between angles and sides in a right triangle. So, keep this definition in mind as we move forward. Also, remember that the tangent function is periodic, meaning its values repeat at regular intervals. This is because angles that differ by multiples of 180° have the same tangent value. For example, tan(θ) = tan(θ + 180°). This property can be useful in various problem-solving scenarios. Moreover, the tangent function is undefined at angles where the adjacent side is zero (i.e., at 90° and 270°), as division by zero is not allowed. This is something to keep in mind when working with tangent in different contexts.

The Value of Tan 45°

Now, let’s find out what the value of tan 45° is. To do this, we’ll consider a right-angled triangle where one of the angles is 45°. If one acute angle is 45°, the other must also be 45° (since the angles in a triangle add up to 180°, and one angle is already 90°). This means we have an isosceles right-angled triangle, where the two legs (the sides opposite the 45° angles) are equal in length.

Let’s say the length of each leg is a . Then:

Opposite side = a Adjacent side = a

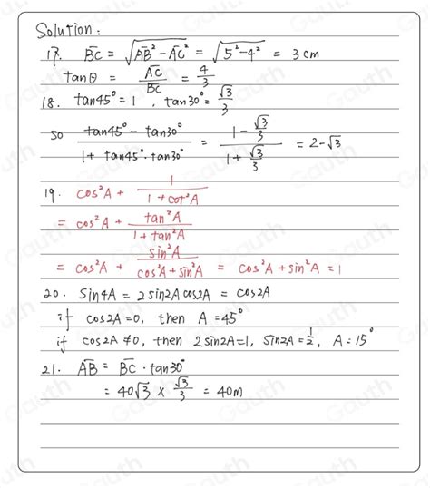
So, tan 45° = Opposite / Adjacent = a / a = 1

Therefore, the value of tan 45° is 1 . This is a key value to remember! Knowing that tan 45° equals 1 can simplify many trigonometric problems. For instance, if you’re solving for an unknown side in a right triangle where one angle is 45°, and you know the length of one side, you can easily find the other using this value. Moreover, this result is consistent regardless of the size of the isosceles right-angled triangle. Whether the legs are 1 unit long or 100 units long, the ratio will always simplify to 1. This is because the tangent function depends only on the angle, not on the absolute lengths of the sides. Additionally, understanding why tan 45° equals 1 helps in visualizing and remembering this fact. It’s not just a number to memorize; it’s a consequence of the geometry of a 45-45-90 triangle. So, by grasping the underlying principles, you can recall this value more easily and apply it effectively in various situations.

The Value of Tan 30°

Next up, let’s figure out the value of tan 30° . For this, we’ll use a different special triangle: the 30-60-90 triangle. This triangle is formed by cutting an equilateral triangle in half.

In an equilateral triangle, all sides are equal, and all angles are 60°. When we bisect one of the angles, we create two 30-60-90 triangles. Let’s assume the side length of the original equilateral triangle is 2 a . When we cut it in half, the side opposite the 30° angle will be a , and the side adjacent to the 30° angle will be √3 * a . Thus:

Opposite side = a Adjacent side = √3a

So, tan 30° = Opposite / Adjacent = a / (√3a) = 1 / √3

To rationalize the denominator (remove the square root from the bottom), we multiply both the numerator and the denominator by √3:

tan 30° = (1 / √3) * (√3 / √3) = √3 / 3

Therefore, the value of tan 30° is √3 / 3 , which is approximately 0.577. This value is also incredibly useful in various mathematical and engineering contexts. Remembering that tan 30° is equal to √3 / 3 can significantly speed up problem-solving. For example, in physics, when dealing with inclined planes, you often encounter 30-60-90 triangles, and knowing the tangent of 30° can help you calculate forces and accelerations. Also, understanding how this value is derived from an equilateral triangle helps in visualizing and remembering it. It’s not just about memorizing the number; it’s about understanding the geometric relationships that lead to this value. Moreover, being able to quickly derive this value from the properties of a 30-60-90 triangle can be a valuable skill, especially in situations where you may not have a calculator readily available.

Quick Recap

To summarize:

  • tan 45° = 1
  • tan 30° = √3 / 3 (approximately 0.577)

Knowing these values can save you a lot of time and effort when solving trigonometric problems. So, make sure to memorize them! Keeping these values handy is like having a secret weapon in your math arsenal. You’ll be surprised how often they come up, whether you’re working on geometry problems, physics assignments, or even engineering projects. So, take a moment to commit them to memory, and you’ll be well-prepared for any trigonometric challenges that come your way. Additionally, it’s a good idea to understand the derivations behind these values, as this will not only help you remember them better but also give you a deeper understanding of trigonometry as a whole.

Practical Applications

These tangent values aren’t just abstract numbers; they have real-world applications. For example, in engineering, they’re used in calculating angles and slopes in construction and design. In physics, they’re used in analyzing motion and forces. Let’s explore a few practical examples:

Engineering

When designing a ramp, engineers use trigonometric functions to determine the angle of inclination. If a ramp needs to rise 1 meter over a horizontal distance of 1 meter, the angle can be found using the tangent function:

tan θ = Rise / Run = 1 / 1 = 1

θ = tan⁻¹(1) = 45°

So, the ramp should be at a 45° angle.

Physics

In physics, if a block is sliding down an inclined plane with an angle of 30°, the component of gravitational force pulling the block down the plane is related to the tangent of the angle. The acceleration of the block can be calculated using:

a = g * sin θ

Where g is the acceleration due to gravity (9.8 m/s²), and θ is the angle of the incline. While this formula uses sine, understanding the relationship between sine, cosine, and tangent is crucial in solving such problems. Specifically, you might need to use the tangent to find the angle if you know the ratio of the forces acting on the block. These examples show that knowing the values of tan 45° and tan 30° (and other trigonometric functions) is essential for practical problem-solving. It’s not just about memorizing the numbers; it’s about understanding how to apply them in real-world scenarios. So, make sure you not only know the values but also understand the underlying principles.

Tips for Remembering

Memorizing trigonometric values can be tricky, but here are a few tips to help:

  • Use Mnemonics: Create a catchy phrase to remember the values. For example, you could use “ 1 for 45, √3 over 3 for 30 .” to remember the tangent values.
  • Draw Triangles: Visualizing the triangles helps. Draw a 45-45-90 and a 30-60-90 triangle and label the sides. This visual aid can make it easier to recall the ratios.
  • Practice: The more you use these values, the easier they’ll be to remember. Solve problems regularly to reinforce your knowledge.
  • Understand the Derivation: Knowing where the values come from (like how tan 30° is derived from an equilateral triangle) can make them easier to remember.

By using these tips, you’ll be able to recall the values of tan 45° and tan 30° quickly and accurately. And remember, practice makes perfect, so keep working at it! These strategies are not just about rote memorization; they’re about creating a deeper understanding of the material. By using mnemonics, you create memorable associations that help you recall the values more easily. By drawing triangles, you reinforce the visual representation of the trigonometric ratios. And by understanding the derivation, you gain a deeper appreciation of the underlying principles. So, use these tips to not only memorize the values but also to enhance your understanding of trigonometry as a whole.

Conclusion

So there you have it! We’ve covered the values of tan 45° and tan 30° , explained how to derive them, and looked at some practical applications. I hope this has been helpful and that you now have a solid understanding of these important trigonometric values. Keep practicing, and you’ll master them in no time!

Remember, trigonometry is a fundamental part of mathematics and has countless applications in various fields. By understanding the basic trigonometric ratios like tangent, sine, and cosine, you’ll be well-equipped to tackle a wide range of problems. So, keep exploring, keep learning, and keep practicing, and you’ll be amazed at what you can achieve! And don’t forget, if you ever get stuck, there are plenty of resources available online and in textbooks to help you out. So, keep pushing forward and never give up on your learning journey. You got this! Remember that trigonometry builds upon itself, so a strong foundation in the basics will make it easier to understand more advanced concepts later on. So, make sure you have a solid grasp of the fundamental trigonometric ratios and their applications before moving on to more complex topics. This will not only make your learning experience more enjoyable but also increase your chances of success in future math and science courses.